ÀÌÀå¿ì, ¼ø´ñ±¹Áý ½ÄÀÚÀç ¹ÌÁö±Þ ³í¶õ Á¾°á¡¦Áß°£¾÷ü Ã¥ÀÓ ÀÎÁ¤(Á¾ÇÕ)
ÀÔ·Â 2026. 03.17. 17:07:34

ÀÌÀå¿ì

[¼¿·´¹Ìµð¾î ½Å¾Æ¶÷ ±âÀÚ] ¹è¿ì ÀÌÀå¿ì ÃøÀÌ ¼ø´ñ±¹Áý ½ÄÀÚÀç ¹ÌÁ¤»ê ³í¶õ¿¡ ´ëÇØ "»ç½Ç°ú ´Ù¸£´Ù"°í ¹Ý¹ÚÇÏ¸ç °ü·Ã ÀÌü ³»¿ªÀ» °ø°³ÇÑ °¡¿îµ¥, Áß°£ À¯Åë¾÷ü°¡ ´ë±Ý ¹ÌÁö±Þ »ç½ÇÀ» ÀÎÁ¤Çϸ鼭 ³í¶õÀÌ ÀϴܶôµÆ´Ù.

17ÀÏ µð½ºÆÐÄ¡¿¡ µû¸£¸é, Ãæ³² õ¾È¿¡¼­ Ãà»ê¹° À¯Åë¾÷ü¸¦ ¿î¿µÇÏ´Â A¾¾´Â ÀÌÀå¿ìÀÇ ¼ø´ñ±¹ ºê·£µå È£¼®ÃÌ¿¡ µÅÁö¸Ó¸®, ³»Àå µî ºÎ¼Ó¹°À» ³³Ç°ÇßÀ¸³ª ´ë±ÝÀ» Á¦¶§ ¹ÞÁö ¸øÇß´Ù°í ÁÖÀåÇß´Ù.

A¾¾´Â °Å·¡ Ãʱ⿡´Â Á¤»óÀûÀ¸·Î ´ë±ÝÀÌ Áö±ÞµÆÀ¸³ª, ÀÌÈÄ °áÁ¦ ÁֱⰡ Á¡Â÷ ±æ¾îÁ³°í ÀϺΠ±â°£¿¡´Â ÀÔ±ÝÀÌ ÀÌ·ïÁöÁö ¾ÊÀ¸¸é¼­ ¹Ì¼ö±ÝÀÌ ´©ÀûµÆ´Ù°í ÁÖÀåÇß´Ù.

A¾¾°¡ ÁÖÀåÇÑ ¹Ì¼ö±ÝÀº 2024³â 11¿ù ¾à 5000¸¸ ¿ø, 2025³â 1¿ù¿¡´Â 6400¸¸ ¿ø±îÁö Áõ°¡Çß´Ù. ÀÌÈÄ ÀϺΠ±Ý¾×ÀÌ »óȯµÆÀ¸³ª, ¿©ÀüÈ÷ ¾à 4000¸¸ ¿ø ÀÌ»óÀÇ ´ë±ÝÀÌ Áö±ÞµÇÁö ¾ÊÀº »óÅ·ΠÀüÇØÁ³´Ù.

A¾¾´Â ¡°¿¬¿¹ÀÎÀ̶ó´Â Á¡À» ¹Ï°í ±â´Ù·ÈÁö¸¸ 1³â ³Ñ°Ô °áÁ¦°¡ Áö¿¬µÇ°í ÀÖ´Ù¡±°í È£¼ÒÇϸç, ¿©·Á Â÷·Ê °áÁ¦¸¦ ¿äûÇϰí Áö³­ÇØ 1¿ù¿¡´Â ÀÌÀå¿ì¿¡°Ô Á÷Á¢ DM(´ÙÀÌ·ºÆ® ¸Þ½ÃÁö)À» º¸³»±âµµ ÇßÁö¸¸ ´äº¯À» ¹ÞÁö ¸øÇß´Ù°í ¸»Çß´Ù.

ÀÌ¿¡ ÇØ´ç ½Ä´çÀ» ¼ÒÀ¯ÇÑ ¹ýÀÎ ¹«Áø ÃøÀº "'È£¼®ÃÌ'À» ¿î¿µÇß´ø ÀÌÀå¿ìÀÇ Ä£±¸ B¾¾ÀÇ À߸ø"À̶ó¸ç "ÀÌÀå¿ì´Â ¿ÀÇ 2°³¿ù Á¤µµ ¼öÀÍ ÀϺθ¸ °¬À¸¸ç ÀÌÈÄ ¿î¿µ¿¡´Â °ü¿©ÇÏÁö ¾Ê¾Ò´Ù"¶ó°í ÇØ¸íÇß´Ù.

±×·¯³ª ÀÌÀå¿ì°¡ ¹æ¼Û°ú À¯Æ©ºê µîÀ» ÅëÇØ ÇØ´ç ½Ä´çÀ» ÀÚ½ÅÀÇ °¡°Ôó·³ È«º¸ÇؿԴٴ Á¡¿¡¼­ Ã¥ÀÓ ³í¶õÀÌ À̾îÁ³´Ù. ±×´Â 'ÀüÇö¹«°èȹ', '³ª È¥ÀÚ »ê´Ù' µî¿¡ Ãâ¿¬ÇØ Á÷Á¢ Á¶¸® °úÁ¤À» ¼Ò°³Çϰųª ¸ÅÀåÀ» ¾ð±ÞÇÑ ¹Ù ÀÖ´Ù.

ÀÌ¿Í °ü·ÃÇØ ¼Ò¼Ó»ç Èijʽº¿£ÅÍÅ×ÀÎ¸ÕÆ® ÃøÀº °ø½ÄÀÔÀåÀ» ÅëÇØ "ÀÌÀå¿ì ¹è¿ì´Â È£¼®ÃÌÀÇ ÁÖÁÖ¿Í ¿î¿µ¿¡ Âü¿©Çϰí ÀÖ´Ù. È£¼®ÃÌÀº ³³Ç° ´ë±Ý Àü¾×À» °è¾à»ó °Å·¡Ã³ÀÎ ÁÖ½Äȸ»ç ¹«Áø¿¡ ÀÌ¹Ì Áö±ÞÇÏ¿´°í, ÀÌÈÄ ¹«ÁøÀÌ A¾÷ü¿¡ ´ë±ÝÀ» Áö±ÞÇÏÁö ¸øÇϸ鼭 ¹®Á¦°¡ ¹ß»ýÇÑ °Í"À̶ó°í ¹àÇû´Ù.

¶ÇÇÑ "A¾÷ü¿Í È£¼®ÃÌ ¶Ç´Â ÀÌÀå¿ì ¹è¿ì °£¿¡´Â Á÷Á¢ÀûÀÎ °è¾à°ü°è°¡ ¾øÀ¸¸ç, ÀÌÀå¿ì ¹è¿ì°¡ ´ë±ÝÀ» Áö±ÞÇÏÁö ¾ÊÀº °Íó·³ º¸µµµÈ ³»¿ëÀº »ç½ÇÀÌ ¾Æ´Ï´Ù"¶ó¸ç "ÀϺΠº¸µµ¿¡¼­ ¾ð±ÞµÈ ¡®¹«ÁøÀÌ È£¼®ÃÌÀÇ ÁÖÀÎÀ̾ú´Ù¡¯´Â ³»¿ë ¿ª½Ã »ç½Ç°ú ´Ù¸£¸ç, ¹«ÁøÀº È£¼®ÃÌÀÇ ÁöºÐÀ» º¸À¯ÇÑ ÀûÀÌ ¾ø½À´Ï´Ù. ÀÌÀå¿ì ¹è¿ì´Â ¹«Áø°úµµ ¾Æ¹«·± °ü·ÃÀÌ ¾ø´Ù"¶ó°í ¼±À» ±×¾ú´Ù.

¶ÇÇÑ ³³Ç°¾÷ü ÃøÀÌ SNS¸¦ ÅëÇØ ¿¬¶ôÀ» ½ÃµµÇÏ¿´´Ù´Â ºÎºÐ¿¡ ´ëÇØ¼­´Â "ÀÌÀå¿ì ¹è¿ìÀÇ °èÁ¤¿¡´Â ÇÏ·ç¿¡µµ ¼ö½Ê °Ç ÀÌ»óÀÇ ¸Þ½ÃÁö°¡ ¼ö½ÅµÇ°í ÀÖÀ¸¸ç, ÆÈ·Î¿ìÇÏÁö ¾ÊÀº °èÁ¤ÀÇ ¸Þ½ÃÁö´Â º°µµÀÇ ¡®¸Þ½ÃÁö ¿äû¡¯ÇÔÀ¸·Î ºÐ·ùµÇ¾î Áï½Ã È®ÀÎÀÌ ¾î·Á¿î ±¸Á¶"¶ó¸ç "ÀÌ¿¡ µû¶ó ÇØ´ç ¸Þ½ÃÁö¸¦ Àû½Ã¿¡ È®ÀÎÇÏÁö ¸øÇÑ °ÍÀº »ç½ÇÀ̳ª, À̸¦ °íÀÇÀûÀ¸·Î ȸÇÇÇϰųª ¹«½ÃÇÑ °ÍÀº ¾Æ´ÔÀ» ºÐ¸íÈ÷ ¸»¾¸µå¸°´Ù"¶ó°í °­Á¶Çß´Ù.

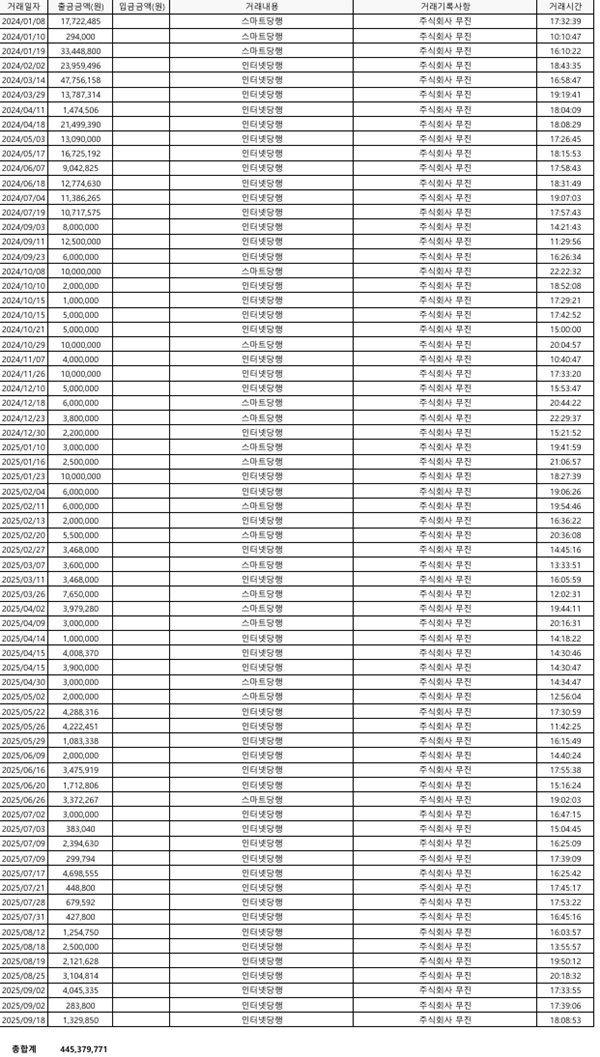
È£¼®ÃÌÀÌ ¹«Áø¿¡ ´ë±ÝÀ» Áö±ÞÇÑ ³»¿ªÀÌ ´ã±ä ÀÌü³»¿ªµµ °ø°³Çϸç "ÀÌ·¯ÇÑ °Å·¡ ±¸Á¶ ¼Ó¿¡¼­ Áß°£¾÷üÀÇ ÀÌÇà ¿©ºÎ¸¦ ÃæºÐÈ÷ »ìÇÇÁö ¸øÇÑ Á¡¿¡ ´ëÇØ¼­´Â µµÀÇÀû Ã¥ÀÓÀ» ´À³¢°í ÀÖ´Ù"¶ó¸ç "»ç¾ÈÀÌ ¿ø¸¸È÷ ÇØ°áµÉ ¼ö ÀÖµµ·Ï ÇÊ¿äÇÑ ÇùÁ¶¸¦ ´ÙÇϰڴÙ"¶ó°í ÀüÇß´Ù.

ÀÌÈÄ ¹«Áø ÃøÀº A ¾÷ü¿¡ ´ë±ÝÀ» Àü´ÞÇÏÁö ¾ÊÀº »ç½ÇÀ» ÀÎÁ¤Çϸç "Áö±ÞÀÌ ÀÌ·ïÁöÁö ¾ÊÀº ºÎºÐÀº ¿ì¸® Ã¥ÀÓ"À̶ó¸ç "ºü¸¥ ½ÃÀÏ ³»¿¡ Áö±ÞÇϰڴٰí"°í ÀüÇÑ °ÍÀ¸·Î ¾Ë·ÁÁ³´Ù.

[¼¿·´¹Ìµð¾î ½Å¾Æ¶÷ ±âÀÚ news@fashionmk.co.kr / »çÁø=¼¿·´¹Ìµð¾îDB, Èijʽº¿£ÅÍÅ×ÀÎ¸ÕÆ® Á¦°ø]

¹æ¼Û Ãֽűâ»ç

Àαâ±â»ç

´õ¼¿·´ ÆÐ¼Ç

´õ¼¿·´ ºäƼ